EVO KOJI SU GRADOVI IMALI PAD FISKALNOG PROMETA
Gračanica i Gradačac imali izuzetan pad fiskalnog prometa
Gračanica i Gradačac su imali izuzetan pad fiskalnog prometa u decembru 2024. godine (u odnosu na godinu ranije).
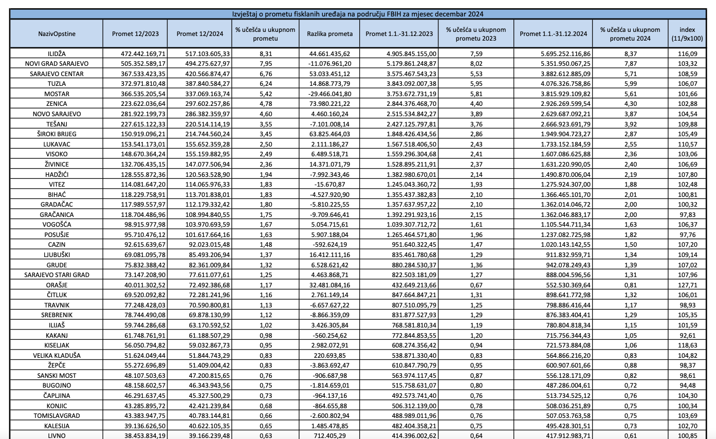
Gračanica i Gradačac su imali izuzetan pad fiskalnog prometa u decembru 2024. godine (u odnosu na godinu ranije). Gotovo 16 miliona KM, pokazuju izvještaj Porezne uprave FBiH o evidentiranje prometa putem fiskalnih uređaja.
“Razumijevajući da je riječ o gradovima koji imaju razvijen sektor trgovine, uz samu granicu entitetske linije, moguće je donijeti niz zaključaka. Još je rano za navedeno, tako da ću svakako tražiti detaljnije podatke za naredne mjesece, uz fokus na sektor trgovine”, poručio je zastupnik Admir Čavalić.
Tačnije, Gradačac je u decembru 2023. imao promet od 117.989.557,97, a u decembru 2024. 112.179.332,42 KM, što je pad od -5.810.225,55 KM.
Gračanica je zabilježila pad od -9.709.646,41 KM
Mostar od -29.466.041,80 KM,
Tešanj -7.101.008,14 KM
Srebrenik -8.866.359,09 KM
Općina Novi Grad je također zabilježila pad prometa od -11.076.961,20 KM.
u odnosu na decembar 2023 kada je promet iznosio 505.352.589,17 KM, promet u decembru 2024. je 494.275.627,97. Ipak, Novi Grad je i dalje druga općina u Federaciji BiH po ostvarenom fiskalnom prometu.
Na prvom mjestu je i dalje Ilidža sa decembarskim prometom od 517.103.605,33 KM.
Prema službenim podacima Porezne uprave Federacije BiH na dan 31.12.2024. godine na području Federacije BiH instalirano je ukupno 105.663 fiskalnih uređaja, putem kojih je u 2024. godini evidentiran ukupan promet u iznosu 68.011.111.999,22 KM.
U odnosu na 31.12.2023. godine broj fiskalnih uređaja je veći za 5.198, a evidentirani promet u 2024. godine je veći u odnosu 2023. godinu za 3.388.124.446,26 KM ili za 5,24 % više.
Općina s najvećim brojem fiskalnih uređaja na dan 31.12.2024. godine je Općina Centar Sarajevo na čijem području je instalirano 6.977 fiskalnih uređaja.
Općina na kojoj je evidentiran najveći ukupan promet putem fiskalnih uređaja u 2024. godine je Općina Ilidža na čijem području je evidentiran ukupan promet fiskalnih uređaja u iznosu 5.695.252.116,86 KM, što predstavlja preko 8% učešća u ukupnom prometu čitave Federacije BiH.
Podatke o evidentiranom prometu putem fiskalnih uređaja možete preuzeti na linku ovdje

Izvor: Akta
